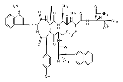
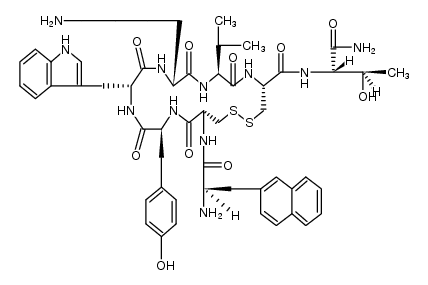
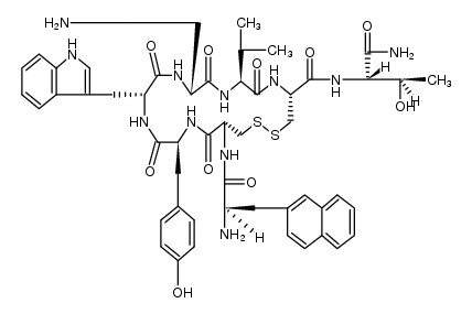
| LANREOTIDE 
| LANREOTIDE | ATC H01CB03
HORMONES SOMATOSTATIN ANALOG LONG-TERM TREATMENT OF ACROMEGALIC PATIENTS INHIBITOR OF VARIOUS ENDOCRINE, NEUROENDOCRINE, EXOCRINE AND PARACRINE FUNCTIONS REDUCTION OF GH AND/OR IGF-1 LEVELS | SUBCUTANEOUS | Cmax 5.7 NANOMOLAR Tmax 9.5 HOUR F 78.4 PERCENT (120 MILLIGRAM) VD 13 LITER (65 KILOGRAM) PPB 81 PERCENT Cl 23.7 LITER / HOUR HT 636 HOUR | SOMATOSTATIN RECEPTORS (SSTR) 2 AND 5 REDUCED BINDING AFFINITY FOR HUMAN SSTR1, 3, AND 4 | Somatostatin receptor type 2 UNIPROT P30874 SSTR2 -- Somatostatin receptor type 5 UNIPROT P35346 SSTR5 more at DrugCentral | EMA ANSM (in French) Inxight Drugs Dailymed Drugs.com VigiAccess SIDER side effects Chemical Probes Portal ChEMBL BindingDB DrugBank |