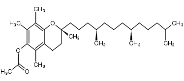
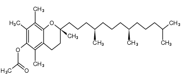
| ALPHA-TOCOPHEROL ACETATE (has an active metabolite) 
| ALPHA-TOCOPHEROL ACETATE TOCOPHEROL ACETATE | ATC A11HA03
METABOLISM SUPPLEMENT ANTIOXIDANT VITAMIN E | INTRAVENOUS | | ALPHA-TOCOPHEROL TRANSFER PROTEIN (ALPHA-TTP) (PMID24231105) | Unknown more at DrugCentral | EMA ANSM (in French) Inxight Drugs Dailymed Drugs.com VigiAccess SIDER side effects Chemical Probes Portal ChEMBL BindingDB DrugBank |