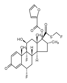
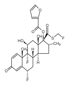
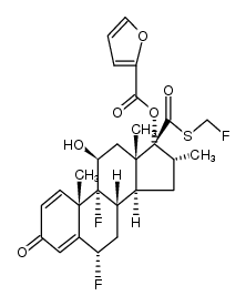
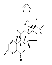
| FLUTICASONE FUROATE 
| FLUTICASONE FUROATE | ATC R01AD12 ATC R03BA09 ATC R03AK10 ATC R03AL08
RESPIRATORY ANTIINFLAMMATORY CORTICOSTEROIDS AGONIST TREATMENT OF SYMPTOMS OF SEASONAL AND PERENNIAL ALLERGIC RHINITIS | NASAL INHALATION | Cmax NOT QUANTIFIABLE (ROUTE = INTRANASAL) F 1.26 PERCENT VD 608 LITER PPB 99 PERCENT Cl 58.7 LITER / HOUR HT 15.1 HOUR SOLUBILITY PRACTICALLY INSOLUBLE IN WATER | HUMAN GLUCOCORTICOID RECEPTOR PDB 3CLD (LIGAND BINDING DOMAIN OF THE GLUCOCORTICOID RECEPTOR COMPLEXED WITH FLUTICAZONE FUROATE) LIGAND CODE = GW6 (link to the list of PDB complexes) Download experimental 3D coordinates of GW6 with added hydrogens | Glucocorticoid receptor UNIPROT P04150 NR3C1 more at DrugCentral | EMA ANSM (in French) Inxight Drugs Dailymed Drugs.com VigiAccess SIDER side effects Chemical Probes Portal ChEMBL BindingDB DrugBank |