| DRONABINOL 
| DRONABINOL | ATC A04AD10
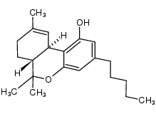
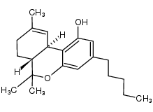
METABOLISM AGONIST CANNABINOID COMPONENT OF CANNABIS SATIVA L. (MARIJUANA) ANTIEMETIC ANTIANOREXIC APPETITE STIMULANT | ORAL | Cmax 25 NANOMOLAR F 92.5 PERCENT VD 650 LITER (65 KILOGRAM) PPB 97 PERCENT Cl 13 LITER / HOUR (65 KILOGRAM) HT 30.5 HOUR SOLUBILITY INSOLUBLE IN WATER | CANNABINOID RECEPTOR PDB 7M6M (FULL LENGTH ALPHA1 GLYCINE RECEPTOR IN PRESENCE OF 32UM TETRAHYDROCANNABINOL) LIGAND CODE = TCI (link to the list of PDB complexes) Download experimental 3D coordinates of TCI with added hydrogens | Cannabinoid receptor 1 UNIPROT P21554 CNR1 more at DrugCentral | EMA ANSM (in French) Inxight Drugs Dailymed Drugs.com VigiAccess SIDER side effects Chemical Probes Portal ChEMBL BindingDB DrugBank |