| BETA CAROTENE DISCONTINUED 
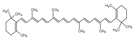
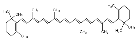
| BETA CAROTENE | NATURAL MOLECULE (link) ATC A11CA02 ATC D02BB01
METABOLISM NUTRIMENT SUPPLEMENT PRO-VITAMINA | ORAL | | BETA,BETA-CAROTENE 15,15PRIME-MONOOXYGENASE PDB 5MX2 (PHOTOSYSTEM II DEPLETED OF THE MN4CAO5 CLUSTER AT 2.55 A RESOLUTION) LIGAND CODE = BCR (link to the list of PDB complexes) Download experimental 3D coordinates of BCR with added hydrogens | Unknown more at DrugCentral | EMA ANSM (in French) Inxight Drugs Dailymed Drugs.com VigiAccess SIDER side effects Chemical Probes Portal ChEMBL BindingDB DrugBank |