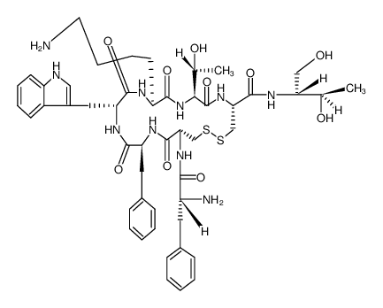
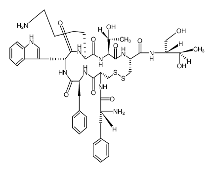
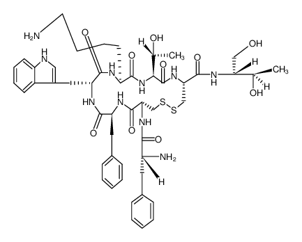
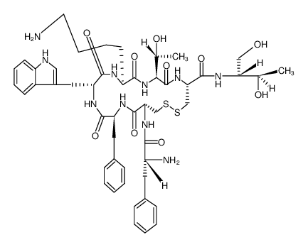
| OCTREOTIDE 
| OCTREOTIDE | ATC H01CB02
HORMONES HORMONE REPLACEMENT AGENTS SOMATOSTATIN MIMICK REDUCE BLOOD LEVELS OF GROWTH HORMONE AND IGF-I (SOMATOMEDIN C) IN ACROMEGALY PATIENTS SYMPTOMATIC TREATMENT | INJECTION ORAL SUBCUTANEOUS | Cmax 5.1 NANOMOLAR (100 MICROGRAM) VD 13.6 LITER PPB 65 PERCENT Cl 8.5 LITER / HOUR HT 1.8 HOUR | SOMATOSTATIN RECEPTOR TYPE 1 SOMATOSTATIN RECEPTOR TYPE 5 SUBSTANCE-K RECEPTOR | Somatostatin receptor type 2 UNIPROT P30874 SSTR2 -- Somatostatin receptor type 3 UNIPROT P32745 SSTR3 more at DrugCentral | EMA ANSM (in French) Inxight Drugs Dailymed Drugs.com VigiAccess SIDER side effects Chemical Probes Portal ChEMBL BindingDB DrugBank |