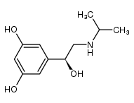
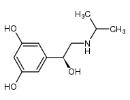
| METAPROTERENOL 
| METAPROTERENOL | ATC R03AB03 ATC R03CB03 ATC R03CB53
RESPIRATORY SYSTEM BRONCHODILATOR ADRENERGIC BETA AGONISTS SYMPATHOMIMETICS TOCOLYTIC AGENTS | ORAL INHALATION | F 40 PERCENT | BETA-2 ADRENERGIC RECEPTOR | Beta-2 adrenergic receptor UNIPROT P07550 ADRB2 more at DrugCentral | EMA ANSM (in French) Inxight Drugs Dailymed Drugs.com VigiAccess SIDER side effects Chemical Probes Portal ChEMBL BindingDB DrugBank |