| DIGITOXIN DISCONTINUED 
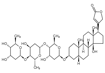
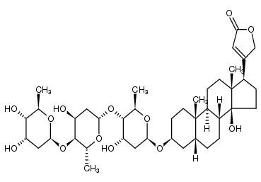
| DIGITOXIN | ATC C01AA04
CARDIOVASCULAR CARDIOTONIC ANTIARRHYTHMIC | INJECTION | F 70 PERCENT VD 28 LITER (65 KILOGRAM) PPB 25 PERCENT Cl 0.16 LITER / HOUR (65 KILOGRAM) HT 48 HOUR SOLUBILITY PRACTICALLY INSOLUBLE IN WATER | SODIUM-POTASSIUM ATPASE PDB 7DDI (CRYSTAL STRUCTURES OF NA+,K+-ATPASE IN COMPLEX WITH DIGITOXIN) LIGAND CODE = F9R (link to the list of PDB complexes) Download experimental 3D coordinates of F9R with added hydrogens | Sodium,potassium-transporting ATPase subunit alpha-1 UNIPROT P05023 ATP1A1 more at DrugCentral | EMA ANSM (in French) Inxight Drugs Dailymed Drugs.com VigiAccess SIDER side effects Chemical Probes Portal ChEMBL BindingDB DrugBank |