| PAROMOMYCIN 
| PAROMOMYCIN | ATC A07AA06
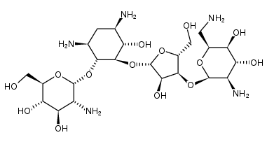
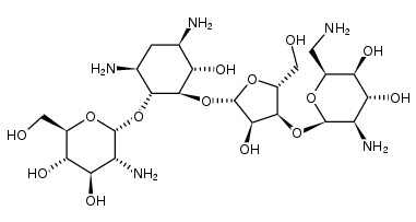
METABOLISM AMINOGLYCOSIDE ANTIBACTERIAL ANTIAMEBIC INTESTINAL ANTIINFECTIVES | ORAL | SOLUBILITY SOLUBLE IN WATER | RIBOSOMAL DECODING A-SITE BACTERIAL 16S RRNA PDB 5BR8 (AMBIENT-TEMPERATURE CRYSTAL STRUCTURE OF 30S RIBOSOMAL SUBUNIT FROM THERMUS THERMOPHILUS IN COMPLEX WITH PAROMOMYCIN) LIGAND CODE = PAR (link to the list of PDB complexes) Download experimental 3D coordinates of PAR with added hydrogens | Unknown more at DrugCentral | EMA ANSM (in French) Inxight Drugs Dailymed Drugs.com VigiAccess SIDER side effects Chemical Probes Portal ChEMBL BindingDB DrugBank |