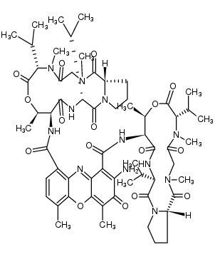
| DACTINOMYCIN 
| DACTINOMYCIN | NATURAL MOLECULE (link) ATC L01DA01
ANTINEOPLASTIC CYTOTOXIC ACTINOMYCINS TREATMENT OF WILMS TUMOR CHILDHOOD RHABDOMYOSARCOMA EWING SARCOMA METASTATIC NONSEMINOMATOUS TESTICULAR CANCER | INJECTION | HT 36 HOUR | DNA | Unknown more at DrugCentral | EMA ANSM (in French) Inxight Drugs Dailymed Drugs.com VigiAccess SIDER side effects Chemical Probes Portal ChEMBL BindingDB DrugBank |