| MUPIROCIN 
| MUPIROCIN | NATURAL MOLECULE (link) ATC D06AX09 ATC R01AX06
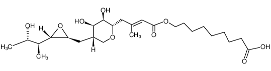
DERMATOLOGICALS ANTIBIOTIC ANTIBACTERIAL | TOPICAL NASAL | HT 0.5 HOUR | ISOLEUCYL-TRNA SYNTHETASE PDB 1FFY (INSIGHTS INTO EDITING FROM AN ILE-TRNA SYNTHETASE STRUCTURE WITH TRNA(ILE) AND MUPIROCIN) LIGAND CODE = MRC (link to the list of PDB complexes) Download experimental 3D coordinates of MRC with added hydrogens | Isoleucine--tRNA ligase UNIPROT P41972 ileS -- Isoleucine--tRNA ligase UNIPROT Q99YW3 ileS more at DrugCentral | EMA ANSM (in French) Inxight Drugs Dailymed Drugs.com VigiAccess SIDER side effects Chemical Probes Portal ChEMBL BindingDB DrugBank |