| MOXALACTAM DISCONTINUED 
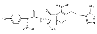
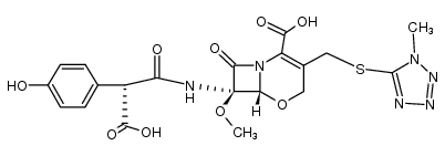
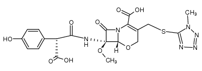
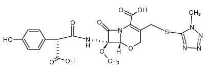
| MOXALACTAM | ATC J01DD06
ANTIINFECTIVES ANTIBACTERIAL ANTIBIOTIC | INJECTION | VD 11 LITER (65 KILOGRAM) PPB 61 PERCENT Cl 2.8 LITER / HOUR (65 KILOGRAM) HT 2.9 HOUR | PENICILLIN-BINDING PROTEIN | Peptidoglycan synthase FtsI UNIPROT P0AD68 ftsI -- Penicillin-binding protein 1A UNIPROT P02918 mrcA more at DrugCentral | EMA ANSM (in French) Inxight Drugs Dailymed Drugs.com VigiAccess SIDER side effects Chemical Probes Portal ChEMBL BindingDB DrugBank |