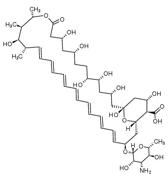
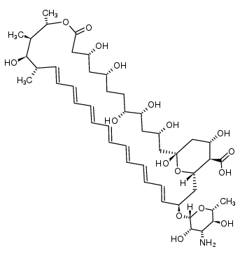
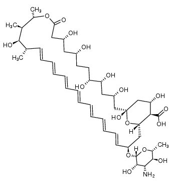
| AMPHOTERICIN B 
| AMPHOTERICIN B | ATC J02AA01 ATC A01AB04 ATC A07AA07 ATC G01AA03
ANTIINFECTIVES ANTIFUNGAL AMEBICIDES ANTI-BACTERIAL AGENTS ANTIPROTOZOAL AGENTS PRODUCED FROM A STRAIN OF STREPTOMYCES NODOSUS HIGH AFFINITY FOR THE ERGOSTEROL COMPONENT OF THE FUNGAL CELL MEMBRANE | TOPICAL ORAL INJECTION | Cmax 89.9 MICROMOLAR VD 6.5 LITER (65 KILOGRAM) PPB 90 PERCENT Cl 0.715 LITER / HOUR (65 KILOGRAM) HT 8.5 HOUR | MEMBRANE PDB 7SHI (CRYSTAL STRUCTURE OF CYTOCHROME P450 AMPHL FROM STREPTOMYCES NODOSUS AND THE STRUCTURAL BASIS FOR SUBSTRATE SELECTIVITY IN MACROLIDE METABOLIZING P450S) LIGAND CODE = 4UH (link to the list of PDB complexes) Download experimental 3D coordinates of 4UH with added hydrogens | Unknown more at DrugCentral | EMA ANSM (in French) Inxight Drugs Dailymed Drugs.com VigiAccess SIDER side effects Chemical Probes Portal ChEMBL BindingDB DrugBank |