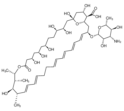
| NYSTATIN 
| NYSTATIN | ATC A07AA02 ATC D01AA01 ATC G01AA01 ATC G01AA51 ATC J01RA19
DERMATOLOGICALS ANTI-BACTERIAL AGENTS ANTIFUNGAL AGENTS FOR ORAL CAVITY (GASTROINTESTINAL ABSORPTION IS INSIGNIFICANT) | TOPICAL ORAL VAGINAL | PPB 20 PERCENT HT 9 HOUR | MEMBRANE AND STEROLS | Unknown more at DrugCentral | EMA ANSM (in French) Inxight Drugs Dailymed Drugs.com VigiAccess SIDER side effects Chemical Probes Portal ChEMBL BindingDB DrugBank |