Cheminformatic Tools and Databases for Pharmacology

session 74093 - Total of 3 hits - Display   hits per page:

Add another drug(s) by one keyword:
Exemple: “nib“ and click on the Search button (do not press Enter on the keyboard)

1 INNClassRoute (list)PK parameters= Cmax; Tmax; F: bioavailability; t1/2: half-life; VD: volume of distribution; Cl: clearance; PPB: plasma protein binding;(EQN means that the equation t1/2 = VD / Cl * 0.693 was usedPrimary Target and PDB code of Protein-Drug complexTargets from DrugCentral Links
CLINDAMYCIN (is an active metabolite)

CLINDAMYCIN


ATC D10AF01
ATC G01AA10
ATC J01FF01
ATC D10AF51

ANTIINFECTIVES
ANTIBIOTIC
ANTIBACTERIAL
PROTEIN SYNTHESIS INHIBITORS
ANTIMALARIALS

ORAL

Cmax 5.89 MICROMOLAR (150 MILLIGRAM)

VD 51.3 LITER (65 KILOGRAM)

PPB 94 PERCENT

Cl 17.5 LITER / HOUR (65 KILOGRAM)

HT 2.4 HOUR

50S RIBOSOMAL SUBUNIT

PDB 3JZ0 (LINB COMPLEXED WITH CLINDAMYCIN AND AMPCPP)

LIGAND CODE = CLY (link to the list of PDB complexes)

Download experimental 3D coordinates of CLY with added hydrogens

Large ribosomal subunit protein uL10 UNIPROT P15825 rpl10

more at DrugCentral

EMA

ANSM (in French)

Inxight Drugs
Dailymed
Drugs.com

VigiAccess
SIDER side effects

Chemical Probes Portal

ChEMBL
BindingDB
DrugBank

2 INNClassRoute (list)PK parameters= Cmax; Tmax; F: bioavailability; t1/2: half-life; VD: volume of distribution; Cl: clearance; PPB: plasma protein binding;(EQN means that the equation t1/2 = VD / Cl * 0.693 was usedPrimary Target and PDB code of Protein-Drug complexTargets from DrugCentral Links
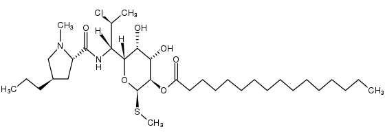
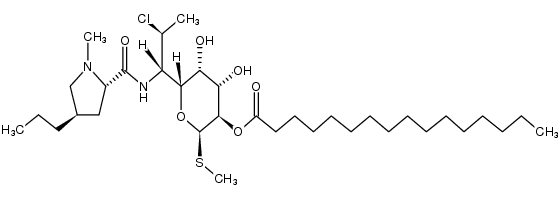
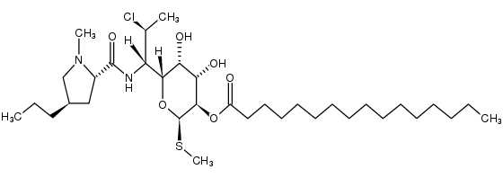
CLINDAMYCIN PALMITATE (has an active metabolite)

CLINDAMYCIN PALMITATE


ATC D10AF01
ATC G01AA10
ATC J01FF01
ATC D10AF51

ANTIINFECTIVES
ANTIBIOTIC
ANTIBACTERIAL

ORAL 50S RIBOSOMAL SUBUNIT

Large ribosomal subunit protein uL10 UNIPROT P15825 rpl10

more at DrugCentral

EMA

ANSM (in French)

Inxight Drugs
Dailymed
Drugs.com

VigiAccess
SIDER side effects

Chemical Probes Portal

ChEMBL
BindingDB
DrugBank

3 INNClassRoute (list)PK parameters= Cmax; Tmax; F: bioavailability; t1/2: half-life; VD: volume of distribution; Cl: clearance; PPB: plasma protein binding;(EQN means that the equation t1/2 = VD / Cl * 0.693 was usedPrimary Target and PDB code of Protein-Drug complexTargets from DrugCentral Links
CLINDAMYCIN PHOSPHATE (has an active metabolite)

CLINDAMYCIN PHOSPHATE


ATC D10AF01
ATC G01AA10
ATC J01FF01
ATC D10AF51

ANTIINFECTIVES
ANTIBIOTIC
ANTIBACTERIAL

INJECTION TOPICAL VAGINAL INTRAVENOUS

SOLUBILITY SOLUBLE ESTER

50S RIBOSOMAL SUBUNIT

Large ribosomal subunit protein uL10 UNIPROT P15825 rpl10

more at DrugCentral

EMA

ANSM (in French)

Inxight Drugs
Dailymed
Drugs.com

VigiAccess
SIDER side effects

Chemical Probes Portal

ChEMBL
BindingDB
DrugBank



Copyright © 2019 Université Côte d'Azur CNRS - All rights reserved
  | Contact |