Cheminformatic Tools and Databases for Pharmacology

session 82328 - Total of 2 hits - Display   hits per page:

Add another drug(s) by one keyword:
Exemple: “nib“ and click on the Search button (do not press Enter on the keyboard)

1 INNClassRoute (list)PK parameters= Cmax; Tmax; F: bioavailability; t1/2: half-life; VD: volume of distribution; Cl: clearance; PPB: plasma protein binding;(EQN means that the equation t1/2 = VD / Cl * 0.693 was usedPrimary Target and PDB code of Protein-Drug complexTargets from DrugCentral Links
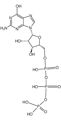
M NELARABINE (is an active metabolite)

NELARABINE


ATC L01BB07

ANTINEOPLASTIC
TREATMENT OF PATIENTS WITH T-CELL ACUTE LYMPHOBLASTIC LEUKEMIA AND T-CELL LYMPHOBLASTIC LYMPHOMA
FOR INCORPORATION INTO DE OXYRIBONUCLEIC ACID (DNA)

-

Cmax 86.5 MICROMOLAR

VD 80 LITER

PPB 25 PERCENT

Cl 16.9 LITER / HOUR

HT 3.2 HOUR

DNA

Unknown

more at DrugCentral

EMA

ANSM (in French)

Inxight Drugs
Dailymed
Drugs.com

VigiAccess
SIDER side effects

Chemical Probes Portal

ChEMBL
BindingDB
DrugBank

2 INNClassRoute (list)PK parameters= Cmax; Tmax; F: bioavailability; t1/2: half-life; VD: volume of distribution; Cl: clearance; PPB: plasma protein binding;(EQN means that the equation t1/2 = VD / Cl * 0.693 was usedPrimary Target and PDB code of Protein-Drug complexTargets from DrugCentral Links
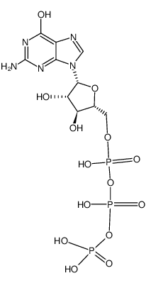
NELARABINE (has an active metabolite)

NELARABINE


ATC L01BB07

ANTINEOPLASTIC
PRODRUG
TREATMENT OF PATIENTS WITH T-CELL ACUTE LYMPHOBLASTIC LEUKEMIA AND T-CELL LYMPHOBLASTIC LYMPHOMA

INTRAVENOUS

Cmax 16.8 MICROMOLAR

VD 318.5 LITER

PPB 25 PERCENT

Cl 315 LITER / HOUR

HT 0.3 HOUR

SOLUBILITY SLIGHTLY SOLUBLE TO SOLUBLE IN WATER

ADENOSINE DEAMINASE

Unknown

more at DrugCentral

EMA

ANSM (in French)

Inxight Drugs
Dailymed
Drugs.com

VigiAccess
SIDER side effects

Chemical Probes Portal

ChEMBL
BindingDB
DrugBank



Copyright © 2019 Université Côte d'Azur CNRS - All rights reserved
  | Contact |