Cheminformatic Tools and Databases for Pharmacology

session 77391 - Total of 2 hits - Display   hits per page:

Add another drug(s) by one keyword:
Exemple: “nib“ and click on the Search button (do not press Enter on the keyboard)

1 INNClassRoute (list)PK parameters= Cmax; Tmax; F: bioavailability; t1/2: half-life; VD: volume of distribution; Cl: clearance; PPB: plasma protein binding;(EQN means that the equation t1/2 = VD / Cl * 0.693 was usedPrimary Target and PDB code of Protein-Drug complexTargets from DrugCentral Links
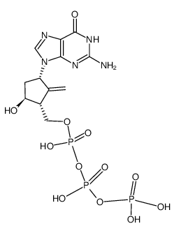
ENTECAVIR (has an active metabolite)

ENTECAVIR


ATC J05AF10

ANTIINFECTIVES
ANTIVIRAL
ANTI HEPATITIS B
GUANOSINE NUCLEOSIDE ANALOG

ORAL

Cmax 29.6 NANOMOLAR (1 MILLIGRAM)

Tmax 1 HOUR

F 100 PERCENT

VD 5129 LITER

PPB 13 PERCENT

Cl 23 LITER / HOUR (RENAL ClEARANCE)

HT 138.5 HOUR

SOLUBILITY SLIGHTLY SOLUBLE IN WATER

HBV REVERSE TRANSCRIPTASE

Protein P UNIPROT Q9IF40 P

more at DrugCentral

EMA

ANSM (in French)

Inxight Drugs
Dailymed
Drugs.com

VigiAccess
SIDER side effects

Chemical Probes Portal

ChEMBL
BindingDB
DrugBank

2 INNClassRoute (list)PK parameters= Cmax; Tmax; F: bioavailability; t1/2: half-life; VD: volume of distribution; Cl: clearance; PPB: plasma protein binding;(EQN means that the equation t1/2 = VD / Cl * 0.693 was usedPrimary Target and PDB code of Protein-Drug complexTargets from DrugCentral Links
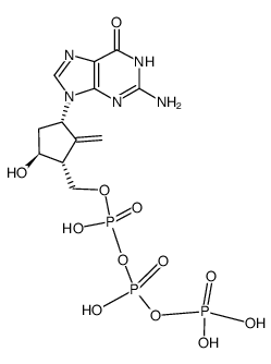
M ENTECAVIR (is an active metabolite)

ENTECAVIR


ATC J05AF10

ANTIINFECTIVES
ANTIVIRAL
ANTI HEPATITIS B
GUANOSINE NUCLEOSIDE ANALOG

-

HT 15 HOUR

HBV REVERSE TRANSCRIPTASE

Protein P UNIPROT Q9IF40 P

more at DrugCentral

EMA

ANSM (in French)

Inxight Drugs
Dailymed
Drugs.com

VigiAccess
SIDER side effects

Chemical Probes Portal

ChEMBL
BindingDB
DrugBank



Copyright © 2019 Université Côte d'Azur CNRS - All rights reserved
  | Contact |