Cheminformatic Tools and Databases for Pharmacology

session 17327 - Total of 2 hits - Display   hits per page:

Add another drug(s) by one keyword:
Exemple: “nib“ and click on the Search button (do not press Enter on the keyboard)

1 INNClassRoute (list)PK parameters= Cmax; Tmax; F: bioavailability; t1/2: half-life; VD: volume of distribution; Cl: clearance; PPB: plasma protein binding;(EQN means that the equation t1/2 = VD / Cl * 0.693 was usedPrimary Target and PDB code of Protein-Drug complexTargets from DrugCentral Links
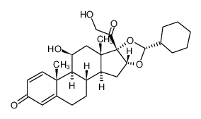
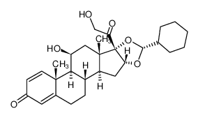
CICLESONIDE (has an active metabolite)

CICLESONIDE


ATC R01AD13
ATC R03BA08

RESPIRATORY
ANTIINFLAMMATORY
ANTI-ALLERGIC AGENTS
GLUCOCORTICOIDS

INHALATION NASAL

F 22 PERCENT

VD 188 LITER (65 KILOGRAM)

PPB 99 PERCENT

Cl 152 LITER / HOUR

HT 0.71 HOUR

CORTICOSTEROID-BINDING GLOBULIN

Glucocorticoid receptor UNIPROT P04150 NR3C1

more at DrugCentral

EMA

ANSM (in French)

Inxight Drugs
Dailymed
Drugs.com

VigiAccess
SIDER side effects

Chemical Probes Portal

ChEMBL
BindingDB
DrugBank

2 INNClassRoute (list)PK parameters= Cmax; Tmax; F: bioavailability; t1/2: half-life; VD: volume of distribution; Cl: clearance; PPB: plasma protein binding;(EQN means that the equation t1/2 = VD / Cl * 0.693 was usedPrimary Target and PDB code of Protein-Drug complexTargets from DrugCentral Links
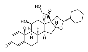
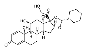
M CICLESONIDE (is an active metabolite)

CICLESONIDE


ATC R01AD13
ATC R03BA08

RESPIRATORY
ANTIINFLAMMATORY
ANTI-ALLERGIC AGENTS
GLUCOCORTICOIDS

-

Cmax 2.17 NANOMOLAR

Tmax 1.04 HOUR

F 63 PERCENT

VD 786 LITER (65 KILOGRAM)

PPB 99 PERCENT

Cl 228 LITER / HOUR

HT 6.5 HOUR

CORTICOSTEROID-BINDING GLOBULIN

PDB 4UDD (GR IN COMPLEX WITH DESISOBUTYRYLCICLESONIDE)

LIGAND CODE = CV7 (link to the list of PDB complexes)

Download experimental 3D coordinates of CV7 with added hydrogens

Glucocorticoid receptor UNIPROT P04150 NR3C1

more at DrugCentral

EMA

ANSM (in French)

Inxight Drugs
Dailymed
Drugs.com

VigiAccess
SIDER side effects

Chemical Probes Portal

ChEMBL
BindingDB
DrugBank



Copyright © 2019 Université Côte d'Azur CNRS - All rights reserved
  | Contact |