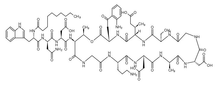
| DAPTOMYCIN 
| DAPTOMYCIN | ATC J01XX09
ANTIINFECTIVES ANTI-BACTERIAL AGENTS GRAM POSITIVE BACTERIA | INTRAVENOUS | Cmax 113.4 MICROMOLAR (12 MILLIGRAM / KILOGRAM) VD 6.3 LITER (65 KILOGRAM) PPB 92 PERCENT Cl 0.58 LITER / HOUR (65 KILOGRAM) HT 7.7 HOUR | MEMBRANE | Unknown more at DrugCentral | EMA ANSM (in French) Inxight Drugs Dailymed Drugs.com VigiAccess SIDER side effects Chemical Probes Portal ChEMBL BindingDB DrugBank |