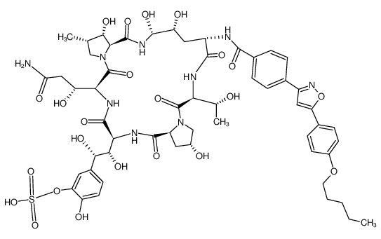
| MICAFUNGIN 
| MICAFUNGIN | ATC J02AX05
ANTIINFECTIVES ANTIFUNGALS MEMBER OF THE ECHINOCANDIN OF ANTIFUNGAL AGENTS | INTRAVENOUS INJECTION | Cmax 7.95 MICROMOLAR VD 25.35 LITER (65 KILOGRAM) PPB 99 PERCENT Cl 1.16 LITER / HOUR (65 KILOGRAM) HT 13.4 HOUR SOLUBILITY FREELY SOLUBLE IN WATER | BETA-1,3-GLUCAN SYNTHASE | Beta-1,3-glucan synthase catalytic subunit 1 UNIPROT O13428 GSC1 more at DrugCentral | EMA ANSM (in French) Inxight Drugs Dailymed Drugs.com VigiAccess SIDER side effects Chemical Probes Portal ChEMBL BindingDB DrugBank |