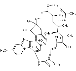
| RIFAXIMIN 
| RIFAXIMIN | ATC A07AA11 ATC D06AX11
METABOLISM ANTIINFECTIVE AGENTS GASTROINTESTINAL AGENTS TREATMENT OF TRAVELERSÂ’ DIARRHEA STRUCTURAL ANALOG OF RIFAMPIN INHIBITION OF BACTERIAL RNA SYNTHESIS | ORAL | Cmax 4.33 NANOMOLAR (200 MG THREE TIMES DAILY 3 DAYS) Tmax 0.8 HOUR PPB 67.5 PERCENT HT 1.8 HOUR | DNA-DEPENDANT RNA POLYMERASE BETA CHAIN PDB 6BEE (CRYSTAL STRUCTURE OF VACV D13 IN COMPLEX WITH RIFAXIMIN) LIGAND CODE = RXM (link to the list of PDB complexes) Download experimental 3D coordinates of RXM with added hydrogens | Bacterial DNA-directed RNA polymerase UNIPROT P0A7Z4 rpoA more at DrugCentral | EMA ANSM (in French) Inxight Drugs Dailymed Drugs.com VigiAccess SIDER side effects Chemical Probes Portal ChEMBL BindingDB DrugBank |