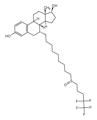
| FULVESTRANT 
| FULVESTRANT | ATC L02BA03
ANTINEOPLASTIC BREAST CANCER (THERAPEUTIC) ANTIESTROGENIC ESTROGEN ANTAGONISTS TREATMENT OF HORMONE RECEPTOR POSITIVE METASTATIC BREAST CANCER | INTRAMUSCULAR | Cmax 46.2 NANOMOLAR VD 260 LITER (65 KILOGRAM) PPB 99 PERCENT Cl 41.4 LITER / HOUR HT 960 HOUR | ESTROGEN RECEPTOR PDB 4J03 (CRYSTAL STRUCTURE OF HUMAN SOLUBLE EPOXIDE HYDROLASE COMPLEXED WITH FULVESTRANT) LIGAND CODE = FVS (link to the list of PDB complexes) Download experimental 3D coordinates of FVS with added hydrogens | Estrogen receptor UNIPROT P03372 ESR1 -- Estrogen receptor beta UNIPROT Q92731 ESR2 more at DrugCentral | EMA ANSM (in French) Inxight Drugs Dailymed Drugs.com VigiAccess SIDER side effects Chemical Probes Portal ChEMBL BindingDB DrugBank |