Cheminformatic Tools and Databases for Pharmacology

session 83641 - Total of 3 hits - Display   hits per page:

Add another drug(s) by one keyword:
Exemple: “nib“ and click on the Search button (do not press Enter on the keyboard)

1 INNClassRoute (list)PK parameters= Cmax; Tmax; F: bioavailability; t1/2: half-life; VD: volume of distribution; Cl: clearance; PPB: plasma protein binding;(EQN means that the equation t1/2 = VD / Cl * 0.693 was usedPrimary Target and PDB code of Protein-Drug complexTargets from DrugCentral Links
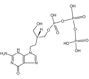
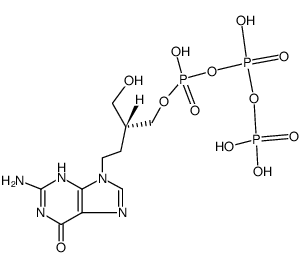
M PENCICLOVIR (is an active metabolite)

PENCICLOVIR


ATC D06BB06
ATC J05AB13

ANTIINFECTIVES
ANTIVIRAL
TREATMENT OF HERPES VIRUS HSV-1 AND HSV-2

- HSV POLYMERASE

DNA polymerase catalytic subunit UNIPROT P04293

more at DrugCentral

EMA

ANSM (in French)

Inxight Drugs
Dailymed
Drugs.com

VigiAccess
SIDER side effects

Chemical Probes Portal

ChEMBL
BindingDB
DrugBank

2 INNClassRoute (list)PK parameters= Cmax; Tmax; F: bioavailability; t1/2: half-life; VD: volume of distribution; Cl: clearance; PPB: plasma protein binding;(EQN means that the equation t1/2 = VD / Cl * 0.693 was usedPrimary Target and PDB code of Protein-Drug complexTargets from DrugCentral Links
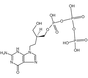
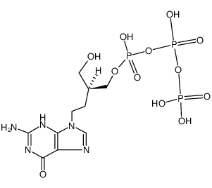
M PENCICLOVIR (is an active metabolite)

PENCICLOVIR


ATC D06BB06
ATC J05AB13

ANTIINFECTIVES
ANTIVIRAL
TREATMENT OF HERPES VIRUS HSV-1 AND HSV-2

- HSV POLYMERASE

DNA polymerase catalytic subunit UNIPROT P04293

more at DrugCentral

EMA

ANSM (in French)

Inxight Drugs
Dailymed
Drugs.com

VigiAccess
SIDER side effects

Chemical Probes Portal

ChEMBL
BindingDB
DrugBank

3 INNClassRoute (list)PK parameters= Cmax; Tmax; F: bioavailability; t1/2: half-life; VD: volume of distribution; Cl: clearance; PPB: plasma protein binding;(EQN means that the equation t1/2 = VD / Cl * 0.693 was usedPrimary Target and PDB code of Protein-Drug complexTargets from DrugCentral Links
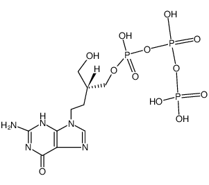
PENCICLOVIR (is an active metabolite) (has an active metabolite)

PENCICLOVIR


ATC D06BB06
ATC J05AB13

ANTIINFECTIVES
ANTIVIRAL
TREATMENT OF HERPES VIRUS HSV-1 AND HSV-2

TOPICAL

Cmax 15.8 MICROMOLAR

Tmax 0.7 HOUR

VD 71.5 LITER (65 KILOGRAM)

PPB 14 PERCENT

Cl 32.7 LITER / HOUR (65 KILOGRAM)

HT 2.1 HOUR

SOLUBILITY OF 1.7 MILLIGRAM / MILLILITER IN WATER

THYMIDINE KINASE

DNA polymerase catalytic subunit UNIPROT P04293

more at DrugCentral

EMA

ANSM (in French)

Inxight Drugs
Dailymed
Drugs.com

VigiAccess
SIDER side effects

Chemical Probes Portal

ChEMBL
BindingDB
DrugBank



Copyright © 2019 Université Côte d'Azur CNRS - All rights reserved
  | Contact |