| ALENDRONATE 
| ALENDRONATE | ATC M05BA04 ATC M05BB06 ATC M05BB03 ATC M05BB05
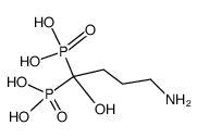
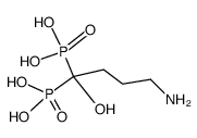
METABOLISM BONE RESORPTION INHIBITOR BISPHOSPHONATE ANTIHYPOCALCEMIC AGENTS ANTIRESORPTIVES | ORAL | F 0.64 PERCENT VD 28 LITER PPB 78 PERCENT Cl 12 LITER / HOUR HT 87600 HOUR SOLUBILITY SOLUBLE IN WATER | FARNESYL PYROPHOSPHATE SYNTHASE PDB 5DZ2 (GEOSMIN SYNTHASE FROM STREPTOMYCES COELICOLOR N-TERMINAL DOMAIN COMPLEXED WITH THREE MG2+ IONS AND ALENDRONIC ACID) LIGAND CODE = 212 (link to the list of PDB complexes) Download experimental 3D coordinates of 212 with added hydrogens | Farnesyl pyrophosphate synthase UNIPROT P14324 FDPS more at DrugCentral | EMA ANSM (in French) Inxight Drugs Dailymed Drugs.com VigiAccess SIDER side effects Chemical Probes Portal ChEMBL BindingDB DrugBank |