Cheminformatic Tools and Databases for Pharmacology

session 33528 - Total of 3 hits - Display   hits per page:

Add another drug(s) by one keyword:
Exemple: “nib“ and click on the Search button (do not press Enter on the keyboard)

1 INNClassRoute (list)PK parameters= Cmax; Tmax; F: bioavailability; t1/2: half-life; VD: volume of distribution; Cl: clearance; PPB: plasma protein binding;(EQN means that the equation t1/2 = VD / Cl * 0.693 was usedPrimary Target and PDB code of Protein-Drug complexTargets from DrugCentral Links
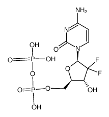
GEMCITABINE (has an active metabolite)

GEMCITABINE


ATC L01BC05

ANTINEOPLASTIC
ANTIMETABOLITES

INJECTION INTRAVENOUS

VD 80 LITER

PPB 0 PERCENT

Cl 88 LITER / HOUR

HT 1 HOUR

SOLUBILITY SOLUBLE IN WATER

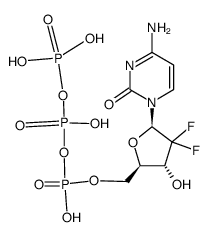
DEOXYCYTIDINE KINASE

PDB 2NO0 (C4S DCK VARIANT OF DCK IN COMPLEX WITH GEMCITABINE+ADP)

LIGAND CODE = GEO (link to the list of PDB complexes)

Download experimental 3D coordinates of GEO with added hydrogens

Ribonucleoside-diphosphate reductase large subunit UNIPROT P23921 RRM1 -- Ribonucleoside-diphosphate reductase subunit M2 UNIPROT P31350 RRM2

more at DrugCentral

EMA

ANSM (in French)

Inxight Drugs
Dailymed
Drugs.com

VigiAccess
SIDER side effects

Chemical Probes Portal

ChEMBL
BindingDB
DrugBank

2 INNClassRoute (list)PK parameters= Cmax; Tmax; F: bioavailability; t1/2: half-life; VD: volume of distribution; Cl: clearance; PPB: plasma protein binding;(EQN means that the equation t1/2 = VD / Cl * 0.693 was usedPrimary Target and PDB code of Protein-Drug complexTargets from DrugCentral Links
M GEMCITABINE (is an active metabolite)

GEMCITABINE


ATC L01BC05

ANTINEOPLASTIC
ANTIMETABOLITES

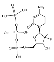
- DEOXYCYTIDINE KINASE

PDB 2EUD (STRUCTURES OF YEAST RIBONUCLEOTIDE REDUCTASE I COMPLEXED WITH LIGANDS AND SUBUNIT PEPTIDES)

LIGAND CODE = GCQ (link to the list of PDB complexes)

Download experimental 3D coordinates of GCQ with added hydrogens

Ribonucleoside-diphosphate reductase large subunit UNIPROT P23921 RRM1 -- Ribonucleoside-diphosphate reductase subunit M2 UNIPROT P31350 RRM2

more at DrugCentral

EMA

ANSM (in French)

Inxight Drugs
Dailymed
Drugs.com

VigiAccess
SIDER side effects

Chemical Probes Portal

ChEMBL
BindingDB
DrugBank

3 INNClassRoute (list)PK parameters= Cmax; Tmax; F: bioavailability; t1/2: half-life; VD: volume of distribution; Cl: clearance; PPB: plasma protein binding;(EQN means that the equation t1/2 = VD / Cl * 0.693 was usedPrimary Target and PDB code of Protein-Drug complexTargets from DrugCentral Links
M GEMCITABINE (is an active metabolite)

GEMCITABINE


ATC L01BC05

ANTINEOPLASTIC
ANTIMETABOLITES

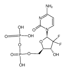
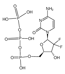
- DEOXYCYTIDINE KINASE

PDB 3MDC (DNA POLYMERASE LAMBDA IN COMPLEX WITH DFDCTP)

LIGAND CODE = GTF (link to the list of PDB complexes)

Download experimental 3D coordinates of GTF with added hydrogens

Ribonucleoside-diphosphate reductase large subunit UNIPROT P23921 RRM1 -- Ribonucleoside-diphosphate reductase subunit M2 UNIPROT P31350 RRM2

more at DrugCentral

EMA

ANSM (in French)

Inxight Drugs
Dailymed
Drugs.com

VigiAccess
SIDER side effects

Chemical Probes Portal

ChEMBL
BindingDB
DrugBank



Copyright © 2019 Université Côte d'Azur CNRS - All rights reserved
  | Contact |