| GLIMEPIRIDE 
| GLIMEPIRIDE | ATC A10BB12 ATC A10BD06 ATC A10BD04
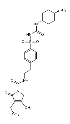
METABOLISM ANTIDIABETIC TREATMENT OF TYPE 2 DIABETES MELLITUS HYPOGLYCEMIC AGENTS SULFONYLUREAS | ORAL | Cmax 353 NANOMOLAR Tmax 2.5 HOUR F 100 PERCENT VD 8.8 LITER PPB 95.5 PERCENT Cl 2.8 LITER / HOUR HT 5.08 HOUR SOLUBILITY PRACTICALLY INSOLUBLE IN WATER | ATP-SENSITIVE INWARD RECTIFIER POTASSIUM CHANNEL PDB 4YVX (CRYSTAL STRUCTURE OF AKR1C3 COMPLEXED WITH GLIMEPIRIDE) LIGAND CODE = GMR (link to the list of PDB complexes) Download experimental 3D coordinates of GMR with added hydrogens | Sulfonylurea receptor 1, Kir6.2 UNIPROT Q09428 ABCC8 more at DrugCentral | EMA ANSM (in French) Inxight Drugs Dailymed Drugs.com VigiAccess SIDER side effects Chemical Probes Portal ChEMBL BindingDB DrugBank |