Cheminformatic Tools and Databases for Pharmacology

session 65286 - Total of 2 hits - Display   hits per page:

Add another drug(s) by one keyword:
Exemple: “nib“ and click on the Search button (do not press Enter on the keyboard)

1 INNClassRoute (list)PK parameters= Cmax; Tmax; F: bioavailability; t1/2: half-life; VD: volume of distribution; Cl: clearance; PPB: plasma protein binding;(EQN means that the equation t1/2 = VD / Cl * 0.693 was usedPrimary Target and PDB code of Protein-Drug complexTargets from DrugCentral Links
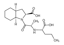
PERINDOPRIL (has an active metabolite)

PERINDOPRIL


ATC C10BX15
ATC C10BX12
ATC C10BX11
ATC C09AA04
ATC C09BB04
ATC C09BX02
ATC C09BA04
ATC C09BX01
ATC C09BX04
ATC C09BX06
ATC C10BX21
ATC C10BX14
ATC C10BX13

CARDIOVASCULAR
ANTIHYPERTENSIVE
ACE INHIBITOR

ORAL

Tmax 1 HOUR

F 75 PERCENT

PPB 60 PERCENT

HT 0.9 HOUR

SOLUBILITY FREELY SOLUBLE IN WATER

ANGIOTENSIN-CONVERTING ENZYME

Angiotensin-converting enzyme UNIPROT P12821 ACE

more at DrugCentral

EMA

ANSM (in French)

Inxight Drugs
Dailymed
Drugs.com

VigiAccess
SIDER side effects

Chemical Probes Portal

ChEMBL
BindingDB
DrugBank

2 INNClassRoute (list)PK parameters= Cmax; Tmax; F: bioavailability; t1/2: half-life; VD: volume of distribution; Cl: clearance; PPB: plasma protein binding;(EQN means that the equation t1/2 = VD / Cl * 0.693 was usedPrimary Target and PDB code of Protein-Drug complexTargets from DrugCentral Links
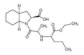
PERINDOPRILAT (is an active metabolite)

PERINDOPRILAT


ATC C10BX15
ATC C10BX12
ATC C10BX11
ATC C09AA04
ATC C09BB04
ATC C09BX02
ATC C09BA04
ATC C09BX01
ATC C09BX04
ATC C09BX06
ATC C10BX21
ATC C10BX14
ATC C10BX13

CARDIOVASCULAR
ANTIHYPERTENSIVE
ACE INHIBITOR

-

Tmax 5 HOUR

F 25 PERCENT

VD 49.4 LITER (65 KILOGRAM)

PPB 15 PERCENT

Cl 6.6 LITER / HOUR (65 KILOGRAM)

HT 29 HOUR

ANGIOTENSIN-CONVERTING ENZYME

PDB 2X94 (CRYSTAL STRUCTURE OF ANCE-PERINDOPRILAT COMPLEX)

LIGAND CODE = X94 (link to the list of PDB complexes)

Download experimental 3D coordinates of X94 with added hydrogens

Angiotensin-converting enzyme UNIPROT P12821 ACE

more at DrugCentral

EMA

ANSM (in French)

Inxight Drugs
Dailymed
Drugs.com

VigiAccess
SIDER side effects

Chemical Probes Portal

ChEMBL
BindingDB
DrugBank



Copyright © 2019 Université Côte d'Azur CNRS - All rights reserved
  | Contact |