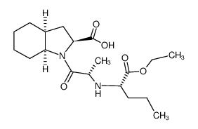
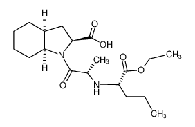
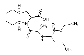
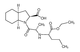
| PERINDOPRIL (has an active metabolite) 
| PERINDOPRIL | ATC C10BX15 ATC C10BX12 ATC C10BX11 ATC C09AA04 ATC C09BB04 ATC C09BX02 ATC C09BA04 ATC C09BX01 ATC C09BX04 ATC C09BX06 ATC C10BX21 ATC C10BX14 ATC C10BX13
CARDIOVASCULAR ANTIHYPERTENSIVE ACE INHIBITOR | ORAL | Tmax 1 HOUR F 75 PERCENT PPB 60 PERCENT HT 0.9 HOUR SOLUBILITY FREELY SOLUBLE IN WATER | ANGIOTENSIN-CONVERTING ENZYME | Angiotensin-converting enzyme UNIPROT P12821 ACE more at DrugCentral | EMA ANSM (in French) Inxight Drugs Dailymed Drugs.com VigiAccess SIDER side effects Chemical Probes Portal ChEMBL BindingDB DrugBank |