Cheminformatic Tools and Databases for Pharmacology

session 68111 - Total of 2 hits - Display   hits per page:

Add another drug(s) by one keyword:
Exemple: “nib“ and click on the Search button (do not press Enter on the keyboard)

1 INNClassRoute (list)PK parameters= Cmax; Tmax; F: bioavailability; t1/2: half-life; VD: volume of distribution; Cl: clearance; PPB: plasma protein binding;(EQN means that the equation t1/2 = VD / Cl * 0.693 was usedPrimary Target and PDB code of Protein-Drug complexTargets from DrugCentral Links
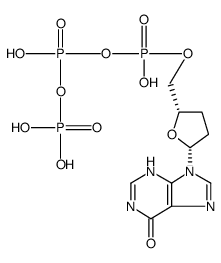
DIDANOSINE DISCONTINUED (has an active metabolite)

DIDANOSINE


ATC J05AF02

ANTIINFECTIVES
ANTIVIRAL
ANTI-HIV AGENTS
ANTIMETABOLITES
REVERSE TRANSCRIPTASE INHIBITORS

ORAL

Tmax 0.8 HOUR

F 42 PERCENT

VD 70.3 LITER

PPB 5 PERCENT

Cl 50 LITER / HOUR

HT 1.5 HOUR

SOLUBILITY IN WATER 27.3 MILLIGRAM / MILLILITER (PH=6)

REVERSE TRANSCRIPTASE (GAG-POL POLYPROTEIN)

Reverse transcriptase,RNaseH UNIPROT Q72549 pol

more at DrugCentral

EMA

ANSM (in French)

Inxight Drugs
Dailymed
Drugs.com

VigiAccess
SIDER side effects

Chemical Probes Portal

ChEMBL
BindingDB
DrugBank

2 INNClassRoute (list)PK parameters= Cmax; Tmax; F: bioavailability; t1/2: half-life; VD: volume of distribution; Cl: clearance; PPB: plasma protein binding;(EQN means that the equation t1/2 = VD / Cl * 0.693 was usedPrimary Target and PDB code of Protein-Drug complexTargets from DrugCentral Links
M DIDANOSINE (is an active metabolite)

DIDANOSINE


ATC J05AF02

ANTIINFECTIVES
ANTIVIRAL
ANTI-HIV AGENTS
ANTIMETABOLITES
REVERSE TRANSCRIPTASE INHIBITORS

- REVERSE TRANSCRIPTASE (GAG-POL POLYPROTEIN)

Reverse transcriptase,RNaseH UNIPROT Q72549 pol

more at DrugCentral

EMA

ANSM (in French)

Inxight Drugs
Dailymed
Drugs.com

VigiAccess
SIDER side effects

Chemical Probes Portal

ChEMBL
BindingDB
DrugBank



Copyright © 2019 Université Côte d'Azur CNRS - All rights reserved
  | Contact |