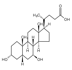
| URSODIOL 
| URSODIOL | NATURAL MOLECULE (link) ATC A05AA02
METABOLISM STEROL CHOLERETIC CHOLAGOGUES ANTICHOLELITHOGENIC TREATMENT OF PRIMARY BILIARY CIRRHOSIS NATURALLY OCCURRING HYDROPHILIC BILE ACID IN THE LIVER, URSODIOL IS CONJUGATED WITH GLYCINE OR TAURINE THEN SECRETED INTO BILE | ORAL | PPB 70 PERCENT SOLUBILITY PRACTICALLY INSOLUBLE IN WATER | HYDROXYSTEROID DEHYDROGENASE, BILE ACID BINDING PROTEIN (PMID22223860) PDB 1IHI (CRYSTAL STRUCTURE OF HUMAN TYPE III 3-ALPHA-HYDROXYSTEROID DEHYDROGENASE, BILE ACID BINDING PROTEIN (AKR1C2) COMPLEXED WITH NADP+ AND URSODEOXYCHOLATE) LIGAND CODE = IU5 (link to the list of PDB complexes) Download experimental 3D coordinates of IU5 with added hydrogens | Bile acid receptor UNIPROT Q96RI1 NR1H4 more at DrugCentral | EMA ANSM (in French) Inxight Drugs Dailymed Drugs.com VigiAccess SIDER side effects Chemical Probes Portal ChEMBL BindingDB DrugBank |