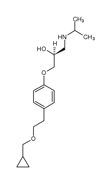
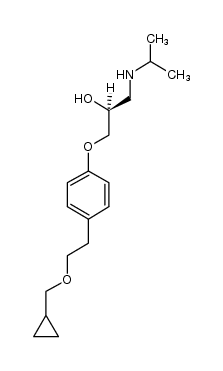
| LEVOBETAXOLOL 
| LEVOBETAXOLOL BETAXOLOL | ATC C07AB05 ATC S01ED02 ATC S01ED52
CARDIOVASCULAR ANTIHYPERTENSIVE ANTIANGINAL ADRENERGIC BETA ANTAGONISTS EENT DRUGS SYMPATHOLYTICS INTRAOCULAR PRESSURE AND IS INDICATED IN THE TREATMENT OF OCULAR HYPERTENSION AND CHRONIC OPEN-ANGLE GLAUCOMA. | OPHTHALMIC ORAL | Cmax 70.3 NANOMOLAR Tmax 3 HOUR F 89 PERCENT VD 312 LITER (65 KILOGRAM) PPB 50 PERCENT Cl 13.26 LITER / HOUR (65 KILOGRAM) HT 18 HOUR SOLUBILITY SOLUBLE IN WATER | BETA-1 ADRENERGIC RECEPTOR | Beta-1 adrenergic receptor UNIPROT P08588 ADRB1 more at DrugCentral | EMA ANSM (in French) Inxight Drugs Dailymed Drugs.com VigiAccess SIDER side effects Chemical Probes Portal ChEMBL BindingDB DrugBank |