Cheminformatic Tools and Databases for Pharmacology

session 98229 - Total of 3 hits - Display   hits per page:

Add another drug(s) by one keyword:
Exemple: “nib“ and click on the Search button (do not press Enter on the keyboard)

1 INNClassRoute (list)PK parameters= Cmax; Tmax; F: bioavailability; t1/2: half-life; VD: volume of distribution; Cl: clearance; PPB: plasma protein binding;(EQN means that the equation t1/2 = VD / Cl * 0.693 was usedPrimary Target and PDB code of Protein-Drug complexTargets from DrugCentral Links
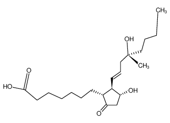
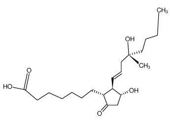
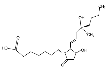
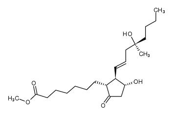
MISOPROSTOL (has an active metabolite)

MISOPROSTOL


ATC A02BB01
ATC G02AD06
ATC M01AE56

METABOLISM
ANTIULCERATIVE
PROSTAGLANDINS
SYNTHETIC PROSTAGLANDIN E1 ANALOG

ORAL

SOLUBILITY SOLUBLE IN WATER

PROSTAGLANDIN RECEPTOR

Prostaglandin E2 receptor EP3 subtype UNIPROT P43115 PTGER3

more at DrugCentral

EMA

ANSM (in French)

Inxight Drugs
Dailymed
Drugs.com

VigiAccess
SIDER side effects

Chemical Probes Portal

ChEMBL
BindingDB
DrugBank

2 INNClassRoute (list)PK parameters= Cmax; Tmax; F: bioavailability; t1/2: half-life; VD: volume of distribution; Cl: clearance; PPB: plasma protein binding;(EQN means that the equation t1/2 = VD / Cl * 0.693 was usedPrimary Target and PDB code of Protein-Drug complexTargets from DrugCentral Links
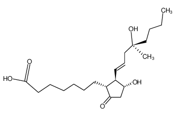
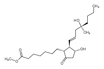
M MISOPROSTOL (is an active metabolite)

MISOPROSTOL


ATC A02BB01
ATC G02AD06
ATC M01AE56

METABOLISM
ANTIULCERATIVE
PROSTAGLANDINS
SYNTHETIC PROSTAGLANDIN E1 ANALOG

-

Cmax 2.2 NANOMOLAR

Tmax 0.2 HOUR

PPB 90 PERCENT

HT 0.5 HOUR

PROSTAGLANDIN RECEPTOR

Prostaglandin E2 receptor EP3 subtype UNIPROT P43115 PTGER3

more at DrugCentral

EMA

ANSM (in French)

Inxight Drugs
Dailymed
Drugs.com

VigiAccess
SIDER side effects

Chemical Probes Portal

ChEMBL
BindingDB
DrugBank

3 INNClassRoute (list)PK parameters= Cmax; Tmax; F: bioavailability; t1/2: half-life; VD: volume of distribution; Cl: clearance; PPB: plasma protein binding;(EQN means that the equation t1/2 = VD / Cl * 0.693 was usedPrimary Target and PDB code of Protein-Drug complexTargets from DrugCentral Links
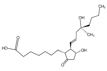
M MISOPROSTOL (is an active metabolite)

MISOPROSTOL


ATC A02BB01
ATC G02AD06
ATC M01AE56

METABOLISM
ANTIULCERATIVE
PROSTAGLANDINS
SYNTHETIC PROSTAGLANDIN E1 ANALOG

-

Cmax 2.2 NANOMOLAR

Tmax 0.2 HOUR

PPB 90 PERCENT

HT 0.5 HOUR

PROSTAGLANDIN RECEPTOR

PDB 6M9T (CRYSTAL STRUCTURE OF EP3 RECEPTOR BOUND TO MISOPROSTOL-FA)

LIGAND CODE = J9P (link to the list of PDB complexes)

Download experimental 3D coordinates of J9P with added hydrogens

Prostaglandin E2 receptor EP3 subtype UNIPROT P43115 PTGER3

more at DrugCentral

EMA

ANSM (in French)

Inxight Drugs
Dailymed
Drugs.com

VigiAccess
SIDER side effects

Chemical Probes Portal

ChEMBL
BindingDB
DrugBank



Copyright © 2019 Université Côte d'Azur CNRS - All rights reserved
  | Contact |