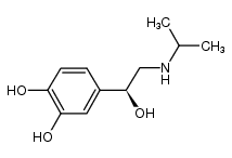
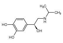
| ISOPROTERENOL 
| ISOPROTERENOL | ATC C01CA02 ATC R03AB02 ATC R03CB01 ATC R03AK02 ATC R03CB51
RESPIRATORY SYSTEM BRONCHODILATOR NON SELECTIVE BETA ADRENERGIC RECEPTOR AGONIST SYMPATHOMIMETIC AMINE | INHALATION RECTAL SUBLINGUAL INJECTION | VD 97.5 LITER (65 KILOGRAM) PPB 29 PERCENT Cl 218.4 LITER / HOUR (65 KILOGRAM) HT 0.41 HOUR | BETA ADRENERGIC RECEPTOR | Beta-1 adrenergic receptor UNIPROT P08588 ADRB1 -- Beta-2 adrenergic receptor UNIPROT P07550 ADRB2 more at DrugCentral | EMA ANSM (in French) Inxight Drugs Dailymed Drugs.com VigiAccess SIDER side effects Chemical Probes Portal ChEMBL BindingDB DrugBank |