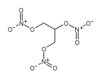
| NITROGLYCERIN 
| NITROGLYCERIN | ATC C01DA02 ATC C05AE01 ATC C01DA52
CARDIOVASCULAR TREATMENT OF ANGINAL ATTACK RELAXATION OF VASCULAR SMOOTH MUSCLE VASODILATATOR NITROGLYCERIN FORMS FREE RADICAL NITRIC OXIDE (NO) WHICH ACTIVATES GUANYLATE CYCLASE | INJECTION SUBLINGUAL TRANSDERMAL INTRA | Cmax 4.5 NANOMOLAR Tmax 0.125 HOUR F 40 PERCENT VD 214.5 LITER (65 KILOGRAM) PPB 60 PERCENT Cl 816 LITER / HOUR HT 0.046 HOUR | PDB 4FR8 (CRYSTAL STRUCTURE OF HUMAN ALDEHYDE DEHYDROGENASE-2 IN COMPLEX WITH NITROGLYCERIN) LIGAND CODE = TNG (link to the list of PDB complexes) Download experimental 3D coordinates of TNG with added hydrogens | Soluble guanylate cyclase UNIPROT O75343 GUCY1B2 more at DrugCentral | EMA ANSM (in French) Inxight Drugs Dailymed Drugs.com VigiAccess SIDER side effects Chemical Probes Portal ChEMBL BindingDB DrugBank |