| VERAPAMIL 
| VERAPAMIL | ATC C09BB10 ATC C08DA01 ATC C08DA51
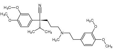
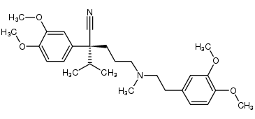
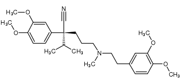
CARDIOVASCULAR CALCIUM ION INFLUX INHIBITOR L-TYPE CALCIUM CHANNEL BLOCKER CORONARY VASODILATOR ANTIARRHYTHMIC | INJECTION ORAL INTRAVENOUS | Cmax 881 NANOMOLAR Tmax 1.5 HOUR F 13 PERCENT VD 240.5 LITER (65 KILOGRAM) PPB 90 PERCENT Cl 70.2 LITER / HOUR (65 KILOGRAM) HT 5.1 HOUR SOLUBILITY SOLUBLE IN WATER | VOLTAGE-DEPENDENT CALCIUM CHANNEL PDB 7QKR (CRYO-EM STRUCTURE OF ABC TRANSPORTER STE6-2P FROM PICHIA PASTORIS WITH VERAPAMIL AT 3.2 A RESOLUTION) LIGAND CODE = I6H (link to the list of PDB complexes) Download experimental 3D coordinates of I6H with added hydrogens | Voltage-dependent L-type calcium channel subunit alpha-1C UNIPROT Q13936 CACNA1C -- Voltage-dependent L-type calcium channel subunit alpha-1S UNIPROT Q13698 CACNA1S more at DrugCentral | EMA ANSM (in French) Inxight Drugs Dailymed Drugs.com VigiAccess SIDER side effects Chemical Probes Portal ChEMBL BindingDB DrugBank |