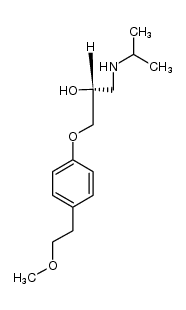
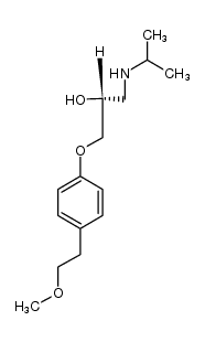
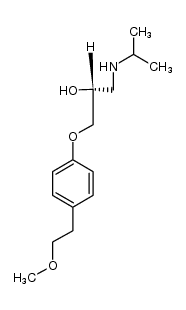
| METOPROLOL 
| METOPROLOL | ATC C07AB02 ATC C07FX03 ATC C07FB13 ATC C07FB02 ATC C07FX05 ATC C07CB02 ATC C07BB02 ATC C07BB52
CARDIOVASCULAR ANTIHYPERTENSIVE ANTIARRHYTHMIC ANTIANGINAL ADRENERGIC (BETA-1) BLOCKER SYMPATHOLYTICS | ORAL INJECTION | Tmax 1 HOUR F 50 PERCENT VD 201.5 LITER (65 KILOGRAM) PPB 12 PERCENT Cl 50.7 LITER / HOUR (65 KILOGRAM) HT 5 HOUR SOLUBILITY VERY SOLUBLE IN WATER | BETA-1 ADRENERGIC RECEPTOR | Beta-1 adrenergic receptor UNIPROT P08588 ADRB1 more at DrugCentral | EMA ANSM (in French) Inxight Drugs Dailymed Drugs.com VigiAccess SIDER side effects Chemical Probes Portal ChEMBL BindingDB DrugBank |