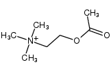
| ACETYLCHOLINE 
| ACETYLCHOLINE | ATC S01EB09
SENSORY ACETYLCHOLINESTERASE INHIBITOR CHOLINERGIC AGENTS VASODILATOR AGENTS PARASYMPATHOMIMETIC ACETYLCHOLINE RECEPTOR: MUSCARINIC ACHRS AND NICOTINIC ACHRS AQUEOUS SOLUTIONS OF ACETYLCHOLINE CHLORIDE ARE UNSTABLE | OPHTHALMIC | | MUSCARINIC ACHRS NICOTINIC ACHRS ACETYLCHOLINESTERASE PDB 2XZ5 (MMTS-MODIFIED Y53C MUTANT OF APLYSIA ACHBP IN COMPLEX WITH ACETYLCHOLINE) LIGAND CODE = ACH (link to the list of PDB complexes) Download experimental 3D coordinates of ACH with added hydrogens | Muscarinic acetylcholine receptor M3 UNIPROT P20309 CHRM3 more at DrugCentral | EMA ANSM (in French) Inxight Drugs Dailymed Drugs.com VigiAccess SIDER side effects Chemical Probes Portal ChEMBL BindingDB DrugBank |