| M QUIZARTINIB (is an active metabolite) 
| QUIZARTINIB | ATC L01EX11
ANTINEOPLASTIC TREATMENT OF ACUTE MYELOID LEUKEMIA (AML) TYROSINE KINASE FLT3 INHIBITOR BIND TO THE ADENOSINE TRIPHOSPHATE (ATP) BINDING DOMAIN | - | Cmax 282 NANOMOLAR Tmax 5.5 HOUR PPB 99 PERCENT HT 136 HOUR | TYROSINE KINASE FLT3 | Receptor-type tyrosine-protein kinase FLT3 UNIPROT P36888 FLT3 more at DrugCentral | EMA ANSM (in French) Inxight Drugs Dailymed Drugs.com VigiAccess SIDER side effects Chemical Probes Portal ChEMBL BindingDB DrugBank |
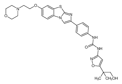
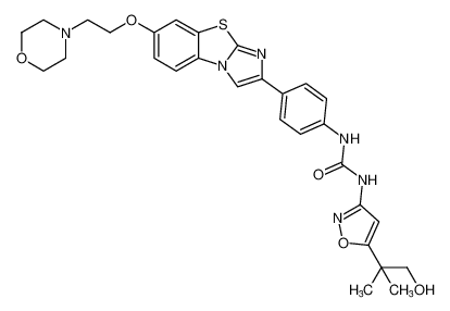
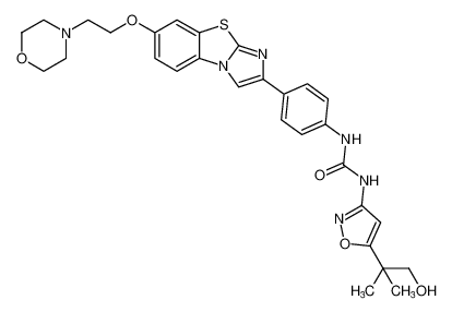
| QUIZARTINIB (has an active metabolite) 
| QUIZARTINIB | ATC L01EX11
ANTINEOPLASTIC TREATMENT OF ACUTE MYELOID LEUKEMIA (AML) TYROSINE KINASE FLT3 INHIBITOR BIND TO THE ADENOSINE TRIPHOSPHATE (ATP) BINDING DOMAIN | ORAL | Cmax 249 NANOMOLAR Tmax 4 HOUR F 71 PERCENT VD 275 LITER PPB 99 PERCENT Cl 2.23 LITER / HOUR HT 81 HOUR SOLUBILITY PRACTICALLY INSOLUBLE IN WATER | TYROSINE KINASE FLT3 PDB 4XUF (CRYSTAL STRUCTURE OF THE FLT3 KINASE DOMAIN BOUND TO THE INHIBITOR QUIZARTINIB (AC220)) LIGAND CODE = P30 (link to the list of PDB complexes) Download experimental 3D coordinates of P30 with added hydrogens | Receptor-type tyrosine-protein kinase FLT3 UNIPROT P36888 FLT3 more at DrugCentral | EMA ANSM (in French) Inxight Drugs Dailymed Drugs.com VigiAccess SIDER side effects Chemical Probes Portal ChEMBL BindingDB DrugBank |