| IVOSIDENIB 
| IVOSIDENIB | ATC L01XM02
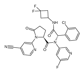
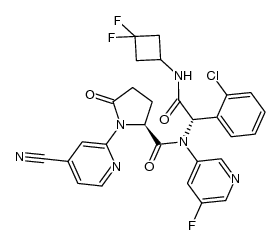
ANTINEOPLASTIC TARGETS MUTANT ISOCITRATE DEHYDROGENASE-1 (IDH1) IDH1 R132 INHIBITOR TREATMENT OF ACUTE MYELOID LEUKEMIA (AML) | ORAL | Cmax 7.7 MICROMOLAR Tmax 3 HOUR VD 234 LITER PPB 94 PERCENT Cl 4.3 LITER / HOUR HT 93 HOUR SOLUBILITY PRACTICALLY INSOLUBLE IN AQUEOUS SOLUTIONS BETWEEN PH 1.2 AND 7.4 | ISOCITRATE DEHYDROGENASE-1 (IDH1) PDB 8T7O (CRYSTAL STRUCTURE OF THE R132H MUTANT OF IDH1 BOUND TO AG-120) LIGAND CODE = IV3 (link to the list of PDB complexes) Download experimental 3D coordinates of IV3 with added hydrogens | Isocitrate dehydrogenase NADP cytoplasmic UNIPROT O75874 IDH1 more at DrugCentral | EMA ANSM (in French) Inxight Drugs Dailymed Drugs.com VigiAccess SIDER side effects Chemical Probes Portal ChEMBL BindingDB DrugBank |