| IVABRADINE 
| IVABRADINE | ATC C07FX06 ATC C01EB17 ATC C07FX05
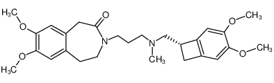
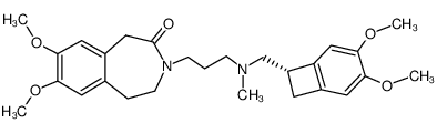
CARDIOVASCULAR HYPERPOLARIZATION-ACTIVATED CYCLIC NUCLEOTIDE-GATED CHANNEL BLOCKER | ORAL | Tmax 1 HOUR F 40 PERCENT VD 100 LITER PPB 70 PERCENT Cl 24 LITER / HOUR HT 6 HOUR | HYPERPOLARIZATION-ACTIVATED CYCLIC NUCLEOTIDE-GATED (HCN) CHANNEL PDB 8OFI (IVABRADINE BOUND TO HCN4 CHANNEL) LIGAND CODE = VNZ (link to the list of PDB complexes) Download experimental 3D coordinates of VNZ with added hydrogens | Potassium,sodium hyperpolarization-activated cyclic nucleotide-gated channel 1 UNIPROT O60741 HCN1 -- Potassium,sodium hyperpolarization-activated cyclic nucleotide-gated channel 2 UNIPROT Q9UL51 HCN2 more at DrugCentral | EMA ANSM (in French) Inxight Drugs Dailymed Drugs.com VigiAccess SIDER side effects Chemical Probes Portal ChEMBL BindingDB DrugBank |