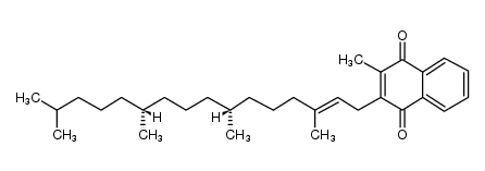
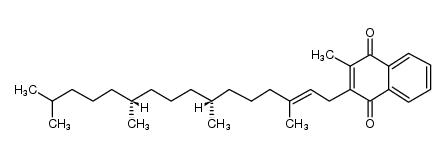
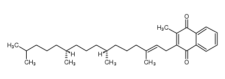
| PHYTONADIONE 
| PHYTONADIONE VITAMIN K | NATURAL MOLECULE (link) ATC B02BA01
VITAMIN PROTHROMBOGENIC ANTIFIBRINOLYTIC AGENTS | ORAL INJECTION INTRAVENOUS | SOLUBILITY INSOLUBLE IN WATER | PDB 4XK8 (CRYSTAL STRUCTURE OF PLANT PHOTOSYSTEM I-LHCI SUPER-COMPLEX AT 2.8 ANGSTROM RESOLUTION) LIGAND CODE = PQN (link to the list of PDB complexes) Download experimental 3D coordinates of PQN with added hydrogens | Alpha-synuclein UNIPROT P37840 more at DrugCentral | EMA ANSM (in French) Inxight Drugs Dailymed Drugs.com VigiAccess SIDER side effects Chemical Probes Portal ChEMBL BindingDB DrugBank |