Cheminformatic Tools and Databases for Pharmacology

session 63871 - Total of 2 hits - Display   hits per page:

Add another drug(s) by one keyword:
Exemple: “nib“ and click on the Search button (do not press Enter on the keyboard)

1 INNClassRoute (list)PK parameters= Cmax; Tmax; F: bioavailability; t1/2: half-life; VD: volume of distribution; Cl: clearance; PPB: plasma protein binding;(EQN means that the equation t1/2 = VD / Cl * 0.693 was usedPrimary Target and PDB code of Protein-Drug complexTargets from DrugCentral Links
CYTARABINE (has an active metabolite)

CYTARABINE


ATC L01BC01
ATC L01XY01

ANTINEOPLASTIC

ANTIMETABOLITES

INJECTION INTRAVENOUS

Cmax 256 MICROMOLAR

Tmax 1 HOUR

VD 7.1 LITER

Cl 0.13 LITER / HOUR

HT 40.4 HOUR

CYTIDINE KINASE

PDB 1P5Z (STRUCTURE OF HUMAN DCK COMPLEXED WITH CYTARABINE AND ADP-MG)

LIGAND CODE = AR3 (link to the list of PDB complexes)

Download experimental 3D coordinates of AR3 with added hydrogens

DNA polymerase (alpha,delta,epsilon) UNIPROT P09884 POLA1

more at DrugCentral

EMA

ANSM (in French)

Inxight Drugs
Dailymed
Drugs.com

VigiAccess
SIDER side effects

Chemical Probes Portal

ChEMBL
BindingDB
DrugBank

2 INNClassRoute (list)PK parameters= Cmax; Tmax; F: bioavailability; t1/2: half-life; VD: volume of distribution; Cl: clearance; PPB: plasma protein binding;(EQN means that the equation t1/2 = VD / Cl * 0.693 was usedPrimary Target and PDB code of Protein-Drug complexTargets from DrugCentral Links
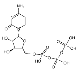
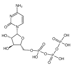
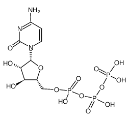
M CYTARABINE (is an active metabolite)

CYTARABINE


ATC L01BC01
ATC L01XY01

ANTINEOPLASTIC

ANTIMETABOLITES

- DNA POLYMERASE

PDB 6DW3 (SAMHD1 BOUND TO CYTARABINE-TP IN THE CATALYTIC POCKET)

LIGAND CODE = HF4 (link to the list of PDB complexes)

Download experimental 3D coordinates of HF4 with added hydrogens

DNA polymerase (alpha,delta,epsilon) UNIPROT P09884 POLA1

more at DrugCentral

EMA

ANSM (in French)

Inxight Drugs
Dailymed
Drugs.com

VigiAccess
SIDER side effects

Chemical Probes Portal

ChEMBL
BindingDB
DrugBank



Copyright © 2019 Université Côte d'Azur CNRS - All rights reserved
  | Contact |