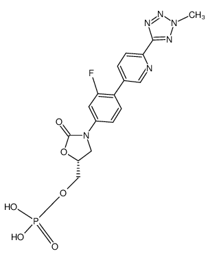
| TEDIZOLID PHOSPHATE (has an active metabolite) 
| TEDIZOLID PHOSPHATE | ATC J01XX11
ANTIINFECTIVES ANTIBACTERIAL AGENT OF THE OXAZOLIDINONE BINDING TO THE 50S SUBUNIT OF THE BACTERIAL RIBOSOME PRODRUG OF TEDIZOLID | ORAL INTRAVENOUS | | RIBOSOME 50S SUBUNIT | Unknown more at DrugCentral | EMA ANSM (in French) Inxight Drugs Dailymed Drugs.com VigiAccess SIDER side effects Chemical Probes Portal ChEMBL BindingDB DrugBank |