| ACYCLOVIR (is an active metabolite) (has an active metabolite) 
| ACYCLOVIR | ATC D06BB03
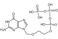
ANTIINFECTIVES ANTIVIRAL AGAINST HERPES SIMPLEX VIRUS TYPES 1 (HSV-1), TYPES 2 (HSV-2) AND VARICELLA-ZOSTER VIRUS (VZV) | INJECTION TOPICAL ORAL BUCCAL OPHTHALMIC | Cmax 107 MICROMOLAR F 15 PERCENT VD 46 LITER (65 KILOGRAM) PPB 21 PERCENT Cl 19.9 LITER / HOUR (65 KILOGRAM) HT 2.5 HOUR SOLUBILITY 100 MILLIGRAM / MILLILITER IN WATER | THYMIDINE KINASE PDB 5I3C (CRYSTAL STRUCTURE OF E.COLI PURINE NUCLEOSIDE PHOSPHORYLASE WITH ACYCLOGUANOSINE) LIGAND CODE = AC2 (link to the list of PDB complexes) Download experimental 3D coordinates of AC2 with added hydrogens | DNA polymerase catalytic subunit UNIPROT P04293 -- DNA polymerase catalytic subunit UNIPROT P09252 more at DrugCentral | EMA ANSM (in French) Inxight Drugs Dailymed Drugs.com VigiAccess SIDER side effects Chemical Probes Portal ChEMBL BindingDB DrugBank |
| M ACYCLOVIR (is an active metabolite) 
| ACYCLOVIR | ATC D06BB03
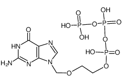
ANTIINFECTIVES ANTIVIRAL AGAINST HERPES SIMPLEX VIRUS TYPES 1 (HSV-1), TYPES 2 (HSV-2) AND VARICELLA-ZOSTER VIRUS (VZV) | - | | DNA POLYMERASE PDB 8V1T (HERPES SIMPLEX VIRUS 1 POLYMERASE HOLOENZYME BOUND TO DNA AND ACYCLOVIR TRIPHOSPHATE IN CLOSED CONFORMATION) LIGAND CODE = AVP (link to the list of PDB complexes) Download experimental 3D coordinates of AVP with added hydrogens | DNA polymerase catalytic subunit UNIPROT P04293 -- DNA polymerase catalytic subunit UNIPROT P09252 more at DrugCentral | EMA ANSM (in French) Inxight Drugs Dailymed Drugs.com VigiAccess SIDER side effects Chemical Probes Portal ChEMBL BindingDB DrugBank |