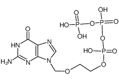
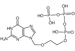
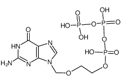
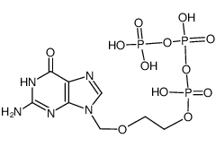
| M ACYCLOVIR (is an active metabolite) 
| ACYCLOVIR | ATC D06BB03
ANTIINFECTIVES ANTIVIRAL AGAINST HERPES SIMPLEX VIRUS TYPES 1 (HSV-1), TYPES 2 (HSV-2) AND VARICELLA-ZOSTER VIRUS (VZV) | - | | DNA POLYMERASE PDB 8V1T (HERPES SIMPLEX VIRUS 1 POLYMERASE HOLOENZYME BOUND TO DNA AND ACYCLOVIR TRIPHOSPHATE IN CLOSED CONFORMATION) LIGAND CODE = AVP (link to the list of PDB complexes) Download experimental 3D coordinates of AVP with added hydrogens | DNA polymerase catalytic subunit UNIPROT P04293 -- DNA polymerase catalytic subunit UNIPROT P09252 more at DrugCentral | EMA ANSM (in French) Inxight Drugs Dailymed Drugs.com VigiAccess SIDER side effects Chemical Probes Portal ChEMBL BindingDB DrugBank |