Cheminformatic Tools and Databases for Pharmacology

session 40979 - Total of 2 hits - Display   hits per page:

Add another drug(s) by one keyword:
Exemple: “nib“ and click on the Search button (do not press Enter on the keyboard)

1 INNClassRoute (list)PK parameters= Cmax; Tmax; F: bioavailability; t1/2: half-life; VD: volume of distribution; Cl: clearance; PPB: plasma protein binding;(EQN means that the equation t1/2 = VD / Cl * 0.693 was usedPrimary Target and PDB code of Protein-Drug complexTargets from DrugCentral Links
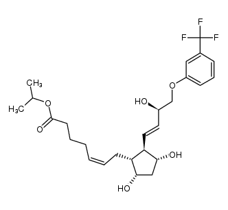
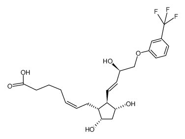
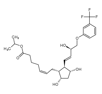
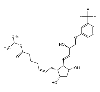
M TRAVOPROST (is an active metabolite)

TRAVOPROST


ATC S01EE04

SENSORY
ANTIHYPERTENSIVE
ANTIGLAUCOMA
OPHTHALMOLOGICALS
PROSTAGLANDIN ANALOGUES
FP PROSTANOID RECEPTOR AGONIST

-

Cmax 0.04 NANOMOLAR

Tmax 0.5 HOUR

HT 0.75 HOUR

FP PROSTANOID RECEPTOR

Prostaglandin F2-alpha receptor UNIPROT P43088 PTGFR

more at DrugCentral

EMA

ANSM (in French)

Inxight Drugs
Dailymed
Drugs.com

VigiAccess
SIDER side effects

Chemical Probes Portal

ChEMBL
BindingDB
DrugBank

2 INNClassRoute (list)PK parameters= Cmax; Tmax; F: bioavailability; t1/2: half-life; VD: volume of distribution; Cl: clearance; PPB: plasma protein binding;(EQN means that the equation t1/2 = VD / Cl * 0.693 was usedPrimary Target and PDB code of Protein-Drug complexTargets from DrugCentral Links
TRAVOPROST (has an active metabolite)

TRAVOPROST


ATC S01EE04

SENSORY
ANTIHYPERTENSIVE
ANTIGLAUCOMA
OPHTHALMOLOGICALS
PROSTAGLANDIN ANALOGUES
FP PROSTANOID RECEPTOR AGONIST
HYDROLYZED TO THE ACTIVE FREE ACID

OPHTHALMIC INTRACAMERAL

SOLUBILITY PRACTICALLY INSOLUBLE IN WATER

FP PROSTANOID RECEPTOR

Prostaglandin F2-alpha receptor UNIPROT P43088 PTGFR

more at DrugCentral

EMA

ANSM (in French)

Inxight Drugs
Dailymed
Drugs.com

VigiAccess
SIDER side effects

Chemical Probes Portal

ChEMBL
BindingDB
DrugBank



Copyright © 2019 Université Côte d'Azur CNRS - All rights reserved
  | Contact |