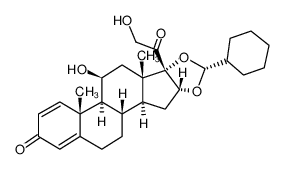
| M CICLESONIDE (is an active metabolite) 
| CICLESONIDE | ATC R01AD13 ATC R03BA08
RESPIRATORY ANTIINFLAMMATORY ANTI-ALLERGIC AGENTS GLUCOCORTICOIDS | - | Cmax 2.17 NANOMOLAR Tmax 1.04 HOUR F 63 PERCENT VD 786 LITER (65 KILOGRAM) PPB 99 PERCENT Cl 228 LITER / HOUR HT 6.5 HOUR | CORTICOSTEROID-BINDING GLOBULIN PDB 4UDD (GR IN COMPLEX WITH DESISOBUTYRYLCICLESONIDE) LIGAND CODE = CV7 (link to the list of PDB complexes) Download experimental 3D coordinates of CV7 with added hydrogens | Glucocorticoid receptor UNIPROT P04150 NR3C1 more at DrugCentral | EMA ANSM (in French) Inxight Drugs Dailymed Drugs.com VigiAccess SIDER side effects Chemical Probes Portal ChEMBL BindingDB DrugBank |