Cheminformatic Tools and Databases for Pharmacology

session 67423 - Total of 3 hits - Display   hits per page:

Add another drug(s) by one keyword:
Exemple: “nib“ and click on the Search button (do not press Enter on the keyboard)

1 INNClassRoute (list)PK parameters= Cmax; Tmax; F: bioavailability; t1/2: half-life; VD: volume of distribution; Cl: clearance; PPB: plasma protein binding;(EQN means that the equation t1/2 = VD / Cl * 0.693 was usedPrimary Target and PDB code of Protein-Drug complexTargets from DrugCentral Links
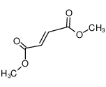
DIMETHYL FUMARATE (has an active metabolite)

DIMETHYL FUMARATE


ATC L04AX07

IMMUNOSUPPRESSANTS
TREATMENT OF TREATMENT OF PATIENTS WITH RELAPSING FORMS OF MULTIPLE SCLEROSIS
ACTIVATES THE NUCLEAR FACTOR (ERYTHROID-DERIVED 2)-LIKE 2 (NRF2) PATHWAY
METABOLITE MONOMETHYL FUMARATE IS A NICOTINIC ACID RECEPTOR AGONIST

ORAL

SOLUBILITY HIGHLY SOLUBLE IN WATER

NICOTINIC ACID RECEPTOR (NIACR)

PDB 6LRZ (CRYSTAL STRUCTURE OF KEAP1 IN COMPLEX WITH DIMETHYL FUMARATE (DMF))

LIGAND CODE = EOU (link to the list of PDB complexes)

Download experimental 3D coordinates of EOU with added hydrogens

Kelch-like ECH-associated protein 1 UNIPROT Q14145 KEAP1

more at DrugCentral

EMA

ANSM (in French)

Inxight Drugs
Dailymed
Drugs.com

VigiAccess
SIDER side effects

Chemical Probes Portal

ChEMBL
BindingDB
DrugBank

2 INNClassRoute (list)PK parameters= Cmax; Tmax; F: bioavailability; t1/2: half-life; VD: volume of distribution; Cl: clearance; PPB: plasma protein binding;(EQN means that the equation t1/2 = VD / Cl * 0.693 was usedPrimary Target and PDB code of Protein-Drug complexTargets from DrugCentral Links
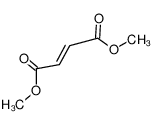
DIROXIMEL (has an active metabolite)

DIROXIMEL


ATC L04AX07

IMMUNOSUPPRESSANTS
TREATMENT OF MULTIPLE SCLEROSIS (MS)
ACTIVE METABOLITE MONOMETHYL FUMARATE (MMF) ACTIVATES NUCLEAR FACTOR (ERYTHROID-DERIVED 2)-LIKE 2 (NRF2) PATHWAY

ORAL

SOLUBILITY SLIGHTLY SOLUBLE IN WATER

Kelch-like ECH-associated protein 1 UNIPROT Q14145 KEAP1

more at DrugCentral

EMA

ANSM (in French)

Inxight Drugs
Dailymed
Drugs.com

VigiAccess
SIDER side effects

Chemical Probes Portal

ChEMBL
BindingDB
DrugBank

3 INNClassRoute (list)PK parameters= Cmax; Tmax; F: bioavailability; t1/2: half-life; VD: volume of distribution; Cl: clearance; PPB: plasma protein binding;(EQN means that the equation t1/2 = VD / Cl * 0.693 was usedPrimary Target and PDB code of Protein-Drug complexTargets from DrugCentral Links
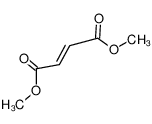
MONOMETHYL FUMARATE (is an active metabolite)

MONOMETHYL FUMARATE


ATC L04AX07

IMMUNOSUPPRESSANTS
TREATMENT OF TREATMENT OF PATIENTS WITH RELAPSING FORMS OF MULTIPLE SCLEROSIS
ACTIVATES THE NUCLEAR FACTOR (ERYTHROID-DERIVED 2)-LIKE 2 (NRF2) PATHWAY
NICOTINIC ACID RECEPTOR AGONIST

ORAL

Cmax 12.9 MICROMOLAR

Tmax 2.25 HOUR

VD 63 LITER

PPB 36 PERCENT

Cl 43.6 LITER / HOUR (EQN)

HT 1 HOUR

NICOTINIC ACID RECEPTOR (NIACR)

PDB 8JHN (STRUCTURE OF MMF-GPR109A-G PROTEIN COMPLEX)

LIGAND CODE = UR9 (link to the list of PDB complexes)

Download experimental 3D coordinates of UR9 with added hydrogens

Kelch-like ECH-associated protein 1 UNIPROT Q14145 KEAP1

more at DrugCentral

EMA

ANSM (in French)

Inxight Drugs
Dailymed
Drugs.com

VigiAccess
SIDER side effects

Chemical Probes Portal

ChEMBL
BindingDB
DrugBank



Copyright © 2019 Université Côte d'Azur CNRS - All rights reserved
  | Contact |