Cheminformatic Tools and Databases for Pharmacology

session 85388 - Total of 1 hits - Display   hits per page:

Add another drug(s) by one keyword:
Exemple: “nib“ and click on the Search button (do not press Enter on the keyboard)

1 INNClassRoute (list)PK parameters= Cmax; Tmax; F: bioavailability; t1/2: half-life; VD: volume of distribution; Cl: clearance; PPB: plasma protein binding;(EQN means that the equation t1/2 = VD / Cl * 0.693 was usedPrimary Target and PDB code of Protein-Drug complexTargets from DrugCentral Links
ACETYLDIGITOXIN DISCONTINUED

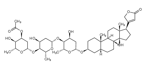
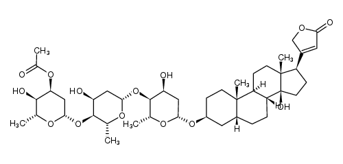
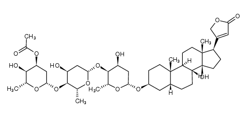
ACETYLDIGITOXIN


ATC C01AA01

CARDIOVASCULAR
CARDIOTONIC

ORAL NA-K ATPASE

Sodium,potassium-transporting ATPase UNIPROT P05023 ATP1A1

more at DrugCentral

EMA

ANSM (in French)

Inxight Drugs
Dailymed
Drugs.com

VigiAccess
SIDER side effects

Chemical Probes Portal

ChEMBL
BindingDB
DrugBank



Copyright © 2019 Université Côte d'Azur CNRS - All rights reserved
  | Contact |