Cheminformatic Tools and Databases for Pharmacology

session 50702 - Total of 3 hits - Display   hits per page:

Add another drug(s) by one keyword:
Exemple: “nib“ and click on the Search button (do not press Enter on the keyboard)

1 INNClassRoute (list)PK parameters= Cmax; Tmax; F: bioavailability; t1/2: half-life; VD: volume of distribution; Cl: clearance; PPB: plasma protein binding;(EQN means that the equation t1/2 = VD / Cl * 0.693 was usedPrimary Target and PDB code of Protein-Drug complexTargets from DrugCentral Links
TENOFOVIR (is an active metabolite)

TENOFOVIR


ATC J05AR06
ATC J05AR08
ATC J05AR12
ATC J05AR27
ATC J05AR24
ATC J05AR11
ATC J05AF07
ATC J05AR03

ANTIINFECTIVE
ANTIVIRAL
ANTIRETROVIRAL
NUCLEOTIDE ANALOG HIV-1 REVERSE TRANSCRIPTASE INHIBITOR AND
HBV REVERSE TRANSCRIPTASE INHIBITOR
CHRONIC HEPATITIS B IN ADULTS

-

Cmax 0.578 MICROMOLAR (300 MILLIGRAM)

F 25 PERCENT

VD 84.5 LITER (65 KILOGRAM)

PPB 7 PERCENT

Cl 3.4 LITER / HOUR (EQN)

HT 17 HOUR

HIV REVERSE TRANSCRIPTASE

PDB 8BVS (CRYO-EM STRUCTURE OF RAT SLC22A6 BOUND TO TENOFOVIR)

LIGAND CODE = TFO (link to the list of PDB complexes)

Download experimental 3D coordinates of TFO with added hydrogens

Reverse transcriptase,RNaseH UNIPROT Q72547 pol

more at DrugCentral

EMA

ANSM (in French)

Inxight Drugs
Dailymed
Drugs.com

VigiAccess
SIDER side effects

Chemical Probes Portal

ChEMBL
BindingDB
DrugBank

2 INNClassRoute (list)PK parameters= Cmax; Tmax; F: bioavailability; t1/2: half-life; VD: volume of distribution; Cl: clearance; PPB: plasma protein binding;(EQN means that the equation t1/2 = VD / Cl * 0.693 was usedPrimary Target and PDB code of Protein-Drug complexTargets from DrugCentral Links
TENOFOVIR ALAFENAMIDE (has an active metabolite)

TENOFOVIR ALAFENAMIDE


ATC J05AR17
ATC J05AR20
ATC J05AR29
ATC J05AR19
ATC J05AF13

ANTIINFECTIVES
TREATMENT OF HIV-1 INFECTION
CONVERTED IN VIVO TO TENOFOVIR

ORAL

Cmax 0.33 MICROMOLAR

Tmax 1 HOUR

PPB 80 PERCENT

HT 0.51 HOUR

SOLUBILITY 4.7 MILLIGRAM / MILLILITER

HIV REVERSE TRANSCRIPTASE

Reverse transcriptase,RNaseH UNIPROT Q72547 pol

more at DrugCentral

EMA

ANSM (in French)

Inxight Drugs
Dailymed
Drugs.com

VigiAccess
SIDER side effects

Chemical Probes Portal

ChEMBL
BindingDB
DrugBank

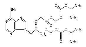
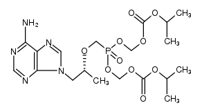
3 INNClassRoute (list)PK parameters= Cmax; Tmax; F: bioavailability; t1/2: half-life; VD: volume of distribution; Cl: clearance; PPB: plasma protein binding;(EQN means that the equation t1/2 = VD / Cl * 0.693 was usedPrimary Target and PDB code of Protein-Drug complexTargets from DrugCentral Links
TENOFOVIR DISOPROXIL (has an active metabolite)

TENOFOVIR DISOPROXIL


ATC J05AR06
ATC J05AR08
ATC J05AR12
ATC J05AR27
ATC J05AR24
ATC J05AR11
ATC J05AF07
ATC J05AR03

ANTIINFECTIVE
ANTIVIRAL
ANTIRETROVIRAL
NUCLEOTIDE ANALOG HIV-1 REVERSE TRANSCRIPTASE INHIBITOR AND
HBV REVERSE TRANSCRIPTASE INHIBITOR
CHRONIC HEPATITIS B IN ADULTS

ORAL

SOLUBILITY 13.4 MILLIGRAM / MILLILITER

HIV REVERSE TRANSCRIPTASE

Reverse transcriptase,RNaseH UNIPROT Q72547 pol

more at DrugCentral

EMA

ANSM (in French)

Inxight Drugs
Dailymed
Drugs.com

VigiAccess
SIDER side effects

Chemical Probes Portal

ChEMBL
BindingDB
DrugBank



Copyright © 2019 Université Côte d'Azur CNRS - All rights reserved
  | Contact |